Löhne Assistenz- und Oberärztinnen und -ärzte

Im Gesamtarbeitsvertrag Berner Spitäler und Kliniken ist die Einstufung und die Lohnentwicklung der Mitarbeitenden festgehalten.

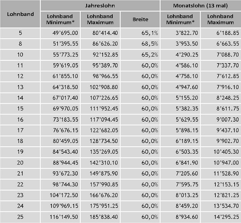
Mit dem Gesamtarbeitsvertrag Berner Spitäler und Kliniken wurde ein neues Lohmodell eingeführt. Anstelle der bisher 30 Gehaltsklasse mit je 80 Gehaltsstufen und bis zu je 12 Vorstufen bildet ein schlankeres Lohnbandsystem Grundlage für die Entlöhnung. Es gibt 18 Lohnbänder mit je einem Minimum und einem Maximum. Die Nummerierung der bisherigen Gehaltsklassen wurde grösstenteils für die Lohnbänder übernommen. Die bisherigen Löhne wurden frankenmässig überführt und die bisherige Lohnhöhe beibehalten. Die Frankenbeträge in den Lohnbändern entsprechen den bisherigen Beträgen der Gehaltsstufe 00 als Minimum und Gehaltsstufe 80 als Maximum und der Jahresmindestlohn beträgt CHF 48'000.-. Innerhalb der Lohnbänder werden Tendenzkurven festgelegt.

Die Einstufung erfolgt gemäss den im GAV festgehaltenen Kriterien (Art. 5.2.3). Berücksichtigt werden

  • die für die Funktion relevante Aus-, Weiter- und Fortbildung;
  • die für die Funktion relevante berufliche und ausserberufliche Leistungen und Erfahrungen (inkl. Familienarbeit);
  • Alter und die interne Lohnstruktur des Betriebes sowie externe Marktlohnvergleiche.

Die Gewichtung der einzelnen Kriterien ist im Gesamtarbeitsvertrag Berner Spitäler und Kliniken nicht festgehalten. Wichtig ist dabei, dass ein interner und externer Lohnvergleich stattfindet und es entsprechend noch wichtiger wird, dass man seinen Einstiegslohn verhandelt.

Die Lohnentwicklung erfolgt wie bis anhin generell oder individuell und die Kriterien für die persönliche Lohnentwicklung sind im GAV festgehalten (Leistung und Verhalten, Berufserfahrung und Alter, Lage im Lohnband). Die für die Lohnentwicklung zur Verfügung stehenden Prozentsätze werden wie bis anhin in jährlichen Verhandlungen mit den Personalverbänden festgelegt.

Die Assistenzärztinnen und -ärzte erhalten weiterhin einen fixen jährlichen Gehaltsanstieg von 3% während den ersten 6 Weiterbildungsjahren.

Assistenzärztinnen und Assistenzärzte sind im Lohnband 21, Oberärztinnen und Oberärzte je nach Funktion in den Lohnbändern 24 oder 25 eingereiht. Wo welche Funktion eingereiht ist, ergibt sich aus den Richtpositionsumschreibungen. Diese sind in den Ausführungsbestimmungen Richtfunktionen GAV auf Seite 32 ersichtlich.

Wir sind bestrebt, dass das Lohnsystem möglichst transparent angewendet wird und unterstützen unsere Mitglieder bei Fragen rund um die Einstufung und die Lohnentwicklung sehr gerne.

Löhne gemäss Gesamtarbeitsvetrag Berner Spitäler und Kliniken

Assistenzärztinnen und -ärzte (Lohnband 21)

  • Einstiegslohn: CHF 7'248.60
  • 2. Weiterbildungsjahr: CHF 7'465.30
  • 3. Weiterbildungsjahr: CHF 7'682.00
  • 4. Weiterbildungsjahr: CHF 7'898.70
  • 5. Weiterbildungsjahr: CHF 8'115.40
  • 6. Weiterbildungsjahr: CHF 8'332.15
  • ab 7. Jahr gemäss GAV-Kriterien

Oberärztinnen und -ärzte (Lohnband 24)

  • Einstiegslohn CHF 9'584.25

Zulagen (für Personal bis und mit Lohnband 24)

Pikett: CHF 30.-/ für eine Zeiteinheit von 8 bis 12 aufeinanderfolgende Stunden, Interventionszeit mind. 30 Minuten, Art. 3.9 GAV beachten.
Nachtarbeit: mind. CHF 8.-/h für die Zeit zwischen 20 Uhr und 6 Uhr.
Wochenendarbeit: mind. CHF 8.-/h für die am Samstag sowie Sonn- und Feiertagen zwischen 6 Uhr und 20 Uhr geleistete Arbeit. Keine Kumulation mit der Entschädigung für Nachtarbeit.

Bezahlte Pausen gemäss Artikel 3.6.1 GAV: Im Artikel 3.6.1 GAV Abs. 1 ist unter Ziffer c festgehalten, dass bei einer geplanten täglichen Arbeitszeit von mehr als neun Stunden neben den beiden Kurzpausen 30 Minuten bezahlte Mittagspause zu entschädigen ist. Dies unabhängig davon, ob aus zwingenden dienstlichen Gründen durchgehende Rufbereitschaft angeordnet wurde oder nicht. Der VSAO Bern hat sich mit den Arbeitgebern darauf geeinigt, dass diese halbe Stunde Mittagspause nicht zwingend als Arbeitszeit gilt. Die halbe Stunde muss aber 1:1 kompensiert oder ohne Zuschlag ausbezahlt werden. Wir sind überzeugt, dass dies eine faire Lösung ist und hoffen, dass dieser Artikel nun in den dem GAV angeschlossenen Spitälern flächendeckend umgesetzt wird.

Die Löhne werden 13 Mal im Jahr ausbezahlt und sind Brutto.

Lohntabelle ab 1.4.2024

Richtspositionsumschreibungen

04.11.2022 Ausführungsbestimmungen Richtfunktionen GAV Medizin PDF (84 kB)